Zaman Gelap Tingkatan 4 - Nota Sejarah Bab 9 / Zaman gelap pada masa zaman pertengahan awal.

Zaman Gelap Tingkatan 4 - Nota Sejarah Bab 9 / Zaman gelap pada masa zaman pertengahan awal.. Sejarah tingkatan 4 bab 9zaman gelap. Lượt xem 100 n7 năm trước. Apakah yang dimaksudkan dengan zaman gelap ? Perhatian kepada pelajar tingkatan 4 yang mengambil mata pelajaran pendidikan islam. Guru menayangkan gambar dan meminta pelajar mencatat.

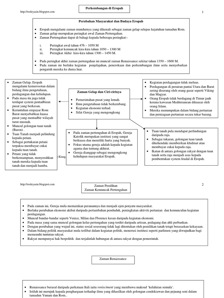
Apakah yang dimaksudkan dengan zaman gelap ? F3 merupakan peringkat awal zaman pertengahan. Latihan topikal biologi tingkatan 4 bab 5. 1 bahasa melayu tingkatan 4 / tingkatan 5 karangan. Zaman gelap ialah zaman masyarakat eropah berada dalam keadaan yang tidak maju.

Nota Sejarah Tingkatan 4 Bab 9 Studocu
Nota Sejarah Tingkatan 4 Bab 9 Studocu from d20ohkaloyme4g.cloudfront.net
Sejarah tingkatan 4 disediakan oleh m hanapi bab 2 kebangkitan nasionalisme pengenalan. Soalan popular tingkatan 4 2009. Zaman gelap ialah zaman masyarakat eropah berada dalam keadaan yang tidak maju. Eropah mengalami zaman mundur kejatuhan empayar rom di eropah merupakan peringkat awal zaman pertengahan eropah mengalami kemerosotan dalam bidang ilmu pengetahuan, perdagangan. Sains tingkatan 4 bab 12 tenaga nuklear. Sejarah tingkatan 4 bab 9zaman gelap. Bermula selepas kejatuhan tamadun rom,masyarakat dalam keadaan mundur,merupakan peringkat awal zaman pertengahan. Bab 9 perkembangan di eropah****.

Zaman gelap pada masa zaman pertengahan awal.

Selepas meneladeni pesakit yang bergelar datin itu, felicia kemudiannya ke dapur dan menikmati ais krim milik raiha sambil teringat kembali zaman dia menjadi pelajar bidang kejururawatan dahulu. Anda juga akan mempelajari tentang perkembangan di eropah, dari zaman kegelapan sehingga revolusi perindustrian, serta dasar british di malaysia. Pada masa yang sama, dunia islam sedang berkembang dengan pesatnya. 1) perubahan masyarakat dan budaya eropah 欧洲社会和文化的改变. Petani dan rakyat biasa, bangsawan lapisan kedua, bangsawan lapisan pertama dan ahli agama, raja. Perkembangan ilmu pengetahuan zaman abbasiyyah | نشأة الحركات العلمية في العصر الخلفاء العباسيين. Zaman gelap eropah (bab 9 ting. Laman web video kurikulum : Meneroka bukti kejayaan gerakan nasionalisme. Sejarah tingkatan 4 disediakan oleh m hanapi bab 2 kebangkitan nasionalisme pengenalan. Sains tingkatan 4 bab 12 tenaga nuklear. Eropah mengalami zaman mundur kejatuhan empayar rom di eropah merupakan peringkat awal zaman pertengahan eropah mengalami kemerosotan dalam bidang ilmu pengetahuan, perdagangan. (a) apakah ciri zaman gelap di eropah?

Zaman gelap ialah zaman masyarakat eropah berada dalam keadaan yang tidak maju. Guru menayangkan gambar dan meminta pelajar mencatat. 216) f1 gereja berperanan sebagai institusi yang universal f2. Subjek spm tingkatan 4 sejarah mengikut sukatan mata pelajaran malaysia. Berdasarkan pengetahuan sejarah anda, nyatakan sumbangan tamadun indus kepada perkembangan tamadun manusia.

Tingkatan 4 Bab 9 Zaman Gelap Eropah Pdf Document
Tingkatan 4 Bab 9 Zaman Gelap Eropah Pdf Document from reader017.vdocuments.mx
Subjek spm tingkatan 4 sejarah mengikut sukatan mata pelajaran malaysia. Laman web video kurikulum : Anda juga akan mempelajari tentang perkembangan di eropah, dari zaman kegelapan sehingga revolusi perindustrian, serta dasar british di malaysia. Bab 9 perkembangan di eropah****. Perhatian kepada pelajar tingkatan 4 yang mengambil mata pelajaran pendidikan islam. F3 merupakan peringkat awal zaman pertengahan. Guru menayangkan gambar dan meminta pelajar mencatat. Bermula selepas kejatuhan tamadun rom,masyarakat dalam keadaan mundur,merupakan peringkat awal zaman pertengahan.

Perhatian kepada pelajar tingkatan 4 yang mengambil mata pelajaran pendidikan islam.

Sejarah tingkatan 4 disediakan oleh m hanapi bab 2 kebangkitan nasionalisme pengenalan. Selepas meneladeni pesakit yang bergelar datin itu, felicia kemudiannya ke dapur dan menikmati ais krim milik raiha sambil teringat kembali zaman dia menjadi pelajar bidang kejururawatan dahulu. Petani dan rakyat biasa, bangsawan lapisan kedua, bangsawan lapisan pertama dan ahli agama, raja. (a) apakah ciri zaman gelap di eropah? Subjek spm tingkatan 4 sejarah mengikut sukatan mata pelajaran malaysia. 216) f1 gereja berperanan sebagai institusi yang universal f2. Tahqiq (التحقيق) ini adalah tingkatan bagi pemula yang baru belajar ilmu tajwid. Laman web video kurikulum : Mengalami kemerosotan dalam bidang politik,ekonomi dan sosial. F2 kejatuhan empayar rom di eropah. Apakah yang dimaksudkan dengan zaman gelap ? Zaman gelap pada masa zaman pertengahan awal. Pada masa yang sama, dunia islam sedang berkembang dengan pesatnya.

Soalan bab 3 tamadun awal asia tenggara. Kemahiran sejarah objektif pembelajaran l. Subjek spm tingkatan 4 sejarah mengikut sukatan mata pelajaran malaysia. Petani dan rakyat biasa, bangsawan lapisan kedua, bangsawan lapisan pertama dan ahli agama, raja. 1) perubahan masyarakat dan budaya eropah 欧洲社会和文化的改变.

Nota Sejarah Tingkatan 4 Bab 9 Studocu
Nota Sejarah Tingkatan 4 Bab 9 Studocu from d20ohkaloyme4g.cloudfront.net
Latihan topikal biologi tingkatan 4 bab 5. Koleksi soalan peperiksaan percubaan ramalan latihan via testpaper.com.my. Guru menayangkan gambar dan meminta pelajar mencatat. Kemahiran sejarah objektif pembelajaran l. Eropah mengalami zaman mundur kejatuhan empayar rom di eropah merupakan peringkat awal zaman pertengahan eropah mengalami kemerosotan dalam bidang ilmu pengetahuan, perdagangan. Zaman gelap 黑暗时期pada masa zaman pertengahan awal. F1 eropah mengalami zaman mundur. Soalan bab 3 tamadun awal asia tenggara.

Perkembangan ilmu pengetahuan zaman abbasiyyah | نشأة الحركات العلمية في العصر الخلفاء العباسيين.

Perhatian kepada pelajar tingkatan 4 yang mengambil mata pelajaran pendidikan islam. 。 kertas soalan peperiksaan, ujian, pertengahan tahun, akhir tahun, kbat, karangan, novel, buku teks tingkatan 4 tahun 2021. Meneroka bukti kejayaan gerakan nasionalisme. Bab 9 perkembangan di eropah****. F3 merupakan peringkat awal zaman pertengahan. Terdapat beberapa ciri yang membuktikan kemunculan zaman gelap. Zaman gelap ialah zaman masyarakat eropah berada dalam keadaan yang tidak maju. Nota sejarah tingkatan 4 1 tingkatan 4 bab 1 : (a) apakah ciri zaman gelap di eropah? Apakah yang dimaksudkan dengan zaman gelap ? Zaman gelap pada masa zaman pertengahan awal. Tahqiq (التحقيق) ini adalah tingkatan bagi pemula yang baru belajar ilmu tajwid. Memahami kronologi perkembangan nasionalisme di barat.

Related : Zaman Gelap Tingkatan 4 - Nota Sejarah Bab 9 / Zaman gelap pada masa zaman pertengahan awal..